안녕하세요. 취업한 공대누나입니다.
오늘은 파이썬의 자료형에 대해서 알아보도록 하겠습니다.
1. 숫자형 자료형
정수형과 실수형 숫자의 경우 그냥 값을 대입해주기만 하면 됩니다.
예를 들어서
a = 3
a = -5
a = 3.14
와 같이 변수 a에 값을 대입해주면 간단하게 끝이 납니다.

1) 지수 표현 방식
1번행과 2번행은 같은 값을 나타내는데요.
사실 파이썬은 대소문자를 구분하기 때문에 주의해야 하지만 여기서 E와 e 중 아무거나 사용해도 됩니다.
위의 a는 아래의 값을 나타냅니다.

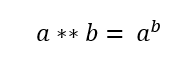
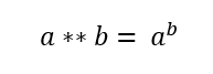
**연산자를 이용해서도 제곱을 표현해줄 수 있는데요.

한 번 프린트해서 확인해보도록 하겠습니다.

2의 5제곱인 32가 출력되는 것을 확인할 수 있습니다.
2) 8진수
8진수를 나타낼 때는 앞에 0o나 0O를 붙여주시면 됩니다.
그렇다면 0o13은 십진수로 11을 나타냅니다.
3) 16진수
16진수를 나타낼 때는 앞에 0x나 0X를 붙여주시면 됩니다.
0x1F라고 하면 십진수로 31을 나타내게 됩니다.
4) 나눗셈 관련 연산자
나눗셈 후에 나머지를 반환하고 싶으면 %연산자를 몫을 반환하고 싶으면 // 연산자를 사용하면 됩니다.

2. 문자열 자료형
이번에는 문자열 자료형을 출력해 보도록 하겠습니다.
1) 큰따옴표(")로 양쪽을 둘러싸기
일반적으로 문자열은 큰따옴표로 많이 둘러싸니까 이 경우는 특별한 설명을 하지는 않겠습니다.
아래와 같이 문자열로 잘 인식되고 출력되는 것을 확인할 수 있습니다.

2) 작은따옴표(')로 양쪽을 둘러싸기
문자열 자체에 큰따옴표가 들어가 있는 경우 작은따옴표로 둘러싸주면 됩니다.

간단하게 숫자형 자료형과 문자열 자료형을 출력해 보았습니다.
다음 시간에는 문자열을 연산해보는 시간을 갖도록 하겠습니다.
'전자 공학 > 파이썬' 카테고리의 다른 글
| 6. 파이썬 독학하기 - 문자열 함수 (0) | 2021.06.12 |
|---|---|
| 5. 파이썬 독학하기 - 문자열 연산하기 (0) | 2021.06.10 |
| 3. 파이썬 독학하기 - 파이썬 실행해보기 (0) | 2021.06.02 |
| 2. 파이썬 개발 환경 구축하기 - 에디터 프로그램 설치하기(feat.Notepad++ 설치하기) (0) | 2021.05.31 |
| 1. 파이썬 개발환경 구축하기, 아나콘다 설치하기 (1) | 2021.05.29 |