안녕하세요. 취업한 공대누나입니다.
오늘은 지난 시간에 이어 커패시터에 대해 마저 공부해보겠습니다.
오늘은 다양한 커패시터의 종류에 대해 이야기 해보고, 수학을 통해 정리해보는 시간을 갖도록 하겠습니다.

5. 커패시터의 종류
![]() |
![]() |
![]() |
![]() |
| 알루미늄 전해 커패시터 | 탄탈 커패시터 | 세라믹 커패시터 | 슈퍼 커패시터 |
1) 알루미늄 전해 커패시터
전해 커패시터는 (+) 극성을 갖는 양극과 (-) 극성을 갖는 음극으로 이루어집니다.
(양방향 전해 커패시터도 있습니다.)
양극은 Anodization을 통해 산화층을 절연한 금속으로 구성되어 있으며, 전해 축전기의 유전체 역할을 합니다.
음극은 산화층의 표면을 덮는 전해입니다.
매우 얇은 유전 산화층과 넓은 양극 표면적으로,
전해 커패시터는 다른 커패시터에 비해 훨씬 높은 Capacitance를 나타냅니다.
그래서 큰 정전 용량으로, 저주파 신호를 통과시키거나 많은 에너지를 저장하기에 적합합니다.
그래서 보통 전원 공급단에서 노이즈를 제거하거나
에너지를 저장 혹은 증폭기에서 커플링을 하는 용도로 많이 사용됩니다.
다른 커패시터에 비해 비교적 가격이 저렴합니다.
출처 : 위키백과
2) 탄탈 커패시터
탄탈 커패시터는 절연체로 탄탈 금속을 사용한 커패시터입니다.
알루미늄 전해 커패시터와 마찬가지로 비교적 큰 정전 용량을 얻을 수 있습니다.
온도 및 회로의 직류전압에 의한 정전용량 특성의 변화가 적은 편입니다.
용도는 전해와 비슷하다고 볼 수 있습니다.
하지만 오차, 주파수 특성 등이 알루미늄 전해 커패시터보다 좋으며
가격이 더 비싸다는 단점이 있습니다.
전해 커패시터에서 발생하는 spike 형상의 전류가 나오지 않아
아날로그 신호에는 주로 탄탈 커패시터를 사용하게 됩니다.
사진 속에는 자세히 나와있지는 않지만
알루미늄 전해 콘덴서와 탄탈 콘덴서 모두 레귤레이터(전원)단에 사용되었습니다.
3) 세라믹 커패시터
세라믹 커패시터는 절연체로 세라믹을 사용한 커패시터입니다.
세라믹은 강유전체의 물질로 아날로그 신호의 회로에 사용하면 신호의 일그러짐이 발생할 수 있습니다.
세라믹 커패시터는 인덕턴스(코일의 성질)이 적어 고주파 특성이 양호한 편입니다.
고주파 노이즈의 바이패스 용도로 주로 사용하며 비교적 작은 용량입니다.
사진 속 세라믹 커패시터는 칩 세라믹 커패서터입니다.
옆에 살짝 보이는 것이 IC의 다리인데요.
최대한 가깝게 배치를 시켜줘야합니다.
*강유전체 : 외부의 전기장 없이도 스스로 분극을 가지는 재료로 외부 전기장에 의하여 분극의 방향이 바뀔 수 있는 물질
4) 슈퍼 커패시터
다른 커패시터에 비해 월등히 많은 용량을 가지며, 울트라 커패시터라고도 불립니다.
수백에서 수천 F의 용량을 가지고 있습니다.
이차전지의 경우 충, 방전 속도가 비교적 느리지만
슈퍼 커패시터는 충전하는데 몇 초 밖에 걸리지 않고 한 번에 받아들이는 전력도 상대적으로 높습니다.
그래서 배터리 대체용으로 주목 받고 있으며 전기 자동차, 하이브리드 전기 자동차 등과 같은
개발 분야에 적용되는 중입니다.
이러한 대용량의 커패시터를 전원 회로에 사용할 때는 주의해야 합니다.
커패시터에 전기가 축적되어 있지 않을 때에는 전류가 계속 흐르게 되는데
이 때 과전류로 인해 파괴될 수 있기 때문입니다.
위의 네가지 커패시터 말고도 필름 커패시터 등 다양한 커패시터가 있습니다.
제가 실무에서 가장 많이 사용하는 3가지 커패시터는
전해, 탄탈, 세라믹입니다.
주로 SMD type으로 사용하며
전원부에는 전해를, 전원부 및 아날로그 신호에는 탄탈을 바이패스용으로는 칩 세라믹 커패시터를 사용합니다.
전해 커패시터는 상대적으로 크기가 크기 때문에
제 경우에는 보드 사이즈가 넉넉한 경우에 사용합니다.
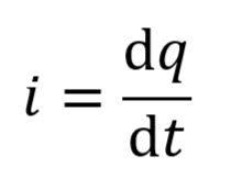
6. 커패시터의 전류-전압 특성
지난 시간에 커패시턴스 공식을 빼먹은 것 같아 잠시 첨부하고 갑니다.. ㅎㅎ

커패시터의 전하량은 양단에 걸리는 전압에 비례하며 다음과 같은 식으로 표현됩니다.
Q=CV
커패시터의 전류 - 전압 단자 특성은 다음과 같습니다.

이므로 커패시터의 경우

v(t)는 전압이 시간에 의존함을 알려줍니다.
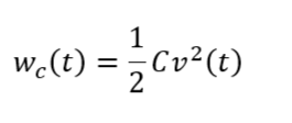
전기장에 저장된 에너지는 다음과 같습니다.

오늘은 커패시터의 종류와 수학으로 이해해보는 시간을 가졌습니다.
다음시간부터는 인덕터에 대해 공부하는 시간을 갖도록 하겠습니다.
감사합니다.
'전자 공학 > 소자' 카테고리의 다른 글
| [인덕터] Q값, 인덕터의 종류, 변압기의 원리 (1) | 2020.09.19 |
|---|---|
| [인덕터] 인덕터란? 인덕터의 기초, 인덕터의 역할 (6) | 2020.09.18 |
| [커패시터] 커패시터란? 커패시터의 기초, 커패시터의 역할 (3) | 2020.09.16 |
| [저항] 특수 저항(NTC, PTC, 바리스터) 저항의 역할(풀업, 풀다운 등) (1) | 2020.09.15 |
| [저항] 저항 색띠 읽는법, 저항의 종류, 저항 사이즈표, 저항 오차표 (2) | 2020.09.14 |



